Потери в экранах силовых кабелей.
-
13 янв. 2012, 12:276Здравствуйте. Вопрос. Потери в экранах целесообразно учитывать только лишь для кабеля в стальной трубе (Привезенцев, Ларина). Почему? Что вносит для экрана труба? Ведь магн. проницаемость меди (допустим, экран из повива медных проволок) так останется примерно равна 1.Релейщик.
-
13 янв. 2012, 14:264Имеется в виду однофазный кабель ?
Это к тому,что слышал краем уха: такие ваащщще низзя в стальных трубах.у мечтов есть гнусное свойство сбываться -
13 янв. 2012, 14:345А почему? Огромные потери в стали?Релейщик.
-
13 янв. 2012, 14:526Если кабель допустим на 64/110 кВ одножильный запихнуть в стальную трубу и включить, то произойдет немножко пробой экрана на трубу (напряжение порядка 60 кВ м/у ними будет), соотвественно сгорит оболочка.
Недавно видел фотки. Феерично.
Если точно помню выкладки, то это происходит из-за того, что сталь наводит токи в экране. Пусть меня поправят."у нас дипломные работы по 20 лет в архивах хранятся, чтобы не дай бох что-нить на производство не попало" © -
13 янв. 2012, 14:534Это в старых конструкциях кабелей (с бумажной изоляцией, в том числе маслонаполненные кабели) использовалась стальная оболочка, или труба или оплетка стальными проволоками. Ты все правильно понимаешь, в стали потери из-за сопротивления большие. Чтобы их уменьшить и экономить при этом медь использовали например такой прием - одна или две стальные проволоки в пасьме оплетки заменялись на медную. Конечно, были потери большие, чем в современных экранированных кабелях, где в качестве материала экрана используется медь. Сейчас конструктив другой. Изоляция - сшитый полиэтилен. А стальная оболочка в виде оплетки или обмотки лентами, это сейчас в силовых кабелях называется броней, она уже выполняет только механическик функции (ну и экранирует дополнитеельно, безусловно, однако этот эффект не отражается в требованиях к электрическим пааметрам).и нет среди нас первых и последних
-
13 янв. 2012, 17:395
-
13 янв. 2012, 17:496
[ссылка]
Познавательно.
Мой стакан невелик, но я пью из своего стакана -
14 янв. 2012, 00:074Мое мнениие, усвоенное из лекций в университете(простыми словами):
Электромагнитное поле, возникащее при передаче переменного тока по кабелю имеет как электрическую, так и магнитную составляющую поля. Эллектрическая составляющая поля не выходит за пределы экрана из медных проволок, на распространения магнитной составляющей на промышленной частоте тока медный экран практически никакого влияния не оказывает.Если расположить одну фазу кабеля в трубе из ферромагнетика (сталь) то изменение магнитного потока пронизывающего трубу вызовет большие потери при протекании вихревых токов в стали и сильный нагрев трубы. -
16 янв. 2012, 13:336классическая картинко....
ээх госпада инженеры, мы все учились по немногу чему небудь и как небудь......
Поймите же наконец что нету проводников, изоляторов, оттдельного тока, напряжения и т.д.
Есть материалы с определенными характеристиками электрической, магнитной проводимостью и сопротивлением. Даже вакуум который как-бы ничто, как ничто рассматривать нельзя - это среда с определенными характеристиками.
и тогда: о чудо, любой проводник с переменным током суть трансформатор, а магнитный контур вокруг него улучшает его трансформаторные функции, да и фиг бы с ним кабы он просто контуром был,так ведь он собака еще и железный, то есть неплохой проводник, то есть не только магнитный контур так еще и замкнутая накоротко вторичная обмотка....
понятно разжевал???Non est ornamentum virile concinnitas -
16 янв. 2012, 15:145Да, это понятно. Только какую роль играет экран в этом "трансформаторе"?
Про трубу понятно. Если взять проницаемость стали 300, то огого какая индуктивность.
Но вот экран?...Релейщик. -
16 янв. 2012, 15:245Какой смысл несет это предложение из учебника?
На фотке правая тройка - это одножильная система силовых кабелей, как я понял. А левее что?
Еще. На фотке. Начиная от земли, фаза располагается в трубе, как я понял. Потом обнажается оболочка, вроде - резина (?). А далее что? Оболочку отделяют?Релейщик. -
16 янв. 2012, 15:245
Мое мнениие, усвоенное из лекций в университете(простыми словами):
Электромагнитное поле, возникащее при передаче переменного тока по кабелю имеет как электрическую, так и магнитную составляющую поля. Эллектрическая составляющая поля не выходит за пределы экрана из медных проволок, на распространения магнитной составляющей на промышленной частоте тока медный экран практически никакого влияния не оказывает.Если расположить одну фазу кабеля в трубе из ферромагнетика (сталь) то изменение магнитного потока пронизывающего трубу вызовет большие потери при протекании вихревых токов в стали и сильный нагрев трубы. ...
Это всё так, если пренебречь током экрана, наравленным против тока жилы.
А он, если верить М.В.Дмитриеву, сравним с основным током жилы.
И в таком разе экран эффективно экранирует и магнитное поле тоже.у мечтов есть гнусное свойство сбываться -
16 янв. 2012, 15:374
если верить М.В.Дмитриеву, [/B]
20-80% Iном.
Я попробовал посчитать для полиэтиленового на 110 коэффициент y_э=Р_э/Р_ж - около 1,85. Если в расчетах не ошибся.Релейщик. -
16 янв. 2012, 17:025на фотке везде СПЭ, тока справа сгореть не успел
Кстати решается влет, даже в таком е*анутом варианте: берем болгарку и режем щель по всей длине трубы, ФСИО.....
тока надо быть ИНЖЕНЕРОМ, а не трудоголиком.Non est ornamentum virile concinnitas -
16 янв. 2012, 18:024
[картинка]
Тиресно, а какой тогда смысл в стальной трубе ?
Не проще ли и дешевле заменить её ПЭ или ПВХ ?у мечтов есть гнусное свойство сбываться -
16 янв. 2012, 18:325Смысл в механической прочности стали...шоб никакой пионэр не повредил, например...Я не волшебник. Я еще только учусь
-
16 янв. 2012, 18:424vadimTFK , а есть фото в приближении сгоревшего кабеля? Хочется поближе рассмотреть. Если не трудно.Релейщик.
-
16 янв. 2012, 18:435у мечтов есть гнусное свойство сбываться
-
16 янв. 2012, 19:355Отправил на электронку, которая в профилеЯ не волшебник. Я еще только учусь
-
16 янв. 2012, 19:446
Отправил на электронку, которая в профиле
Спасибо. Качество гууд.Релейщик. -
16 янв. 2012, 19:594Очень познавательно.
Спасибо огромное спецам!
Жаль, что мало мнений сопровождается фото отчетом...Действительно жаль...Если человек хороший, не важно какого цвета у него BMW;) -
16 янв. 2012, 20:173Отчего зависит, что кабель выгорает именно здесь, а не где-нибудь в другом месте?
P.S.: Оффтоп.Релейщик. -
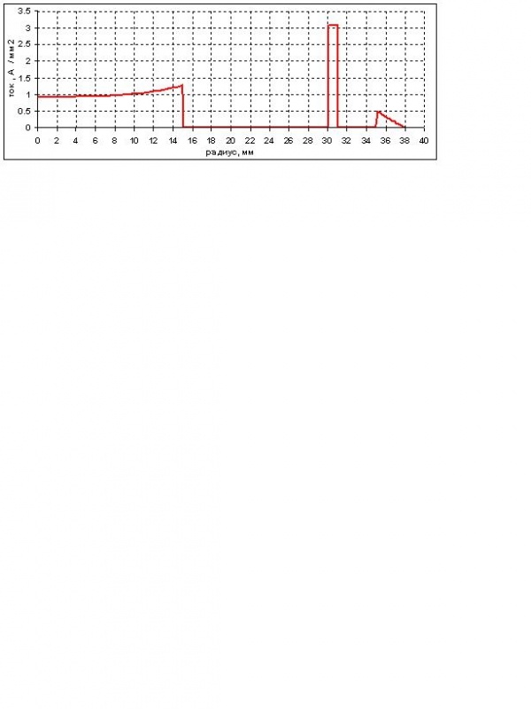
16 янв. 2012, 20:562
Не сосвем так. Вот расчётная
[картинка]
Если надо, могу в личку направить Эксель с цифирьюу мечтов есть гнусное свойство сбываться -
16 янв. 2012, 20:592
Если надо, могу в личку направить Эксель с цифирью
Да. Спасибо.Релейщик. -
17 янв. 2012, 20:512Возможно на поверхности земли сильнее колебания температуры (к примеру):
http://www.news.elteh.ru/arh/2010/60/22....
Возможно из-за влияния неоднорости напряженности электрического поля вследствии кранвого эффекта.добавлено 17.01.2012 в 20:53
краевого -
17 янв. 2012, 21:252
Возможно на поверхности земли сильнее колебания температуры (к примеру):
а возможно кто-то ничего не знает о продольном разрезе трубы болгаркой
[ссылка]
Возможно из-за влияния неоднорости напряженности электрического поля вследствии кранвого эффекта. добавлено 17.01.2012 в 20:53краевого
-
18 янв. 2012, 17:481Релейщик.
-
20 янв. 2012, 09:492
Отчего зависит, что кабель выгорает именно здесь, а не где-нибудь в другом месте?
P.S.: Оффтоп.
потому что замкнутый накоротко трансформатор (жила в трубе) есть ничто иное как индукционная печьдобавлено 20.01.2012 в 09:51
вернее труба вокруг жилы с переменным токомNon est ornamentum virile concinnitas -
20 янв. 2012, 13:282
на фотке везде СПЭ, тока справа сгореть не успел
Кстати решается влет, даже в таком е*анутом варианте: берем болгарку и режем щель по всей длине трубы, ФСИО.....
тока надо быть ИНЖЕНЕРОМ, а не трудоголиком.
Юра, а растолкуй-ка мне, серому, зачем эта щель вдоль трубы ?у мечтов есть гнусное свойство сбываться -
20 янв. 2012, 13:302
а возможно кто-то ничего не знает о продольном разрезе трубы болгаркой

Вот только кто бы разъяснил, зачем
у мечтов есть гнусное свойство сбываться -
20 янв. 2012, 18:292
Вот только кто бы разъяснил, зачем

Обеспечить наличие воздушного зазора в ферромагнитном материале- стальной трубе и тем самым снизить наведенный ток в ней.
